
 
| File Information | |
| File ID: | 21254 | 
| Type: | |
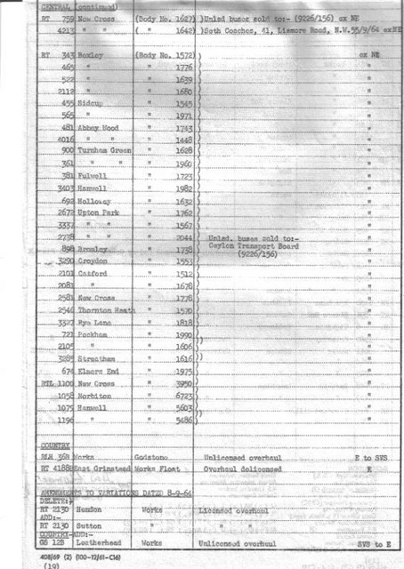
| Title: | Overhauls 64/2 (buses for overhaul 23rd to 29th Sep 1964), dated 9th September 1964, page 1 of 2 | 
| Year: | |
| Month: | |
| Quality: | Low (434x545px) | 
| Added: | 05/04/2020 | 
| Notes: | |
| Downloads Single download: To download this file, right-click on the image and select 'Save Image As...' Bulk download: To download a ZIP file containing this and other related documents, use the link below (where available). Overhauls 1964 (104 files, 9.3Mb) | |