
| File Information | |
| File ID: | 33026 |
| Type: | |
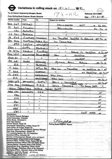
| Title: | Buses Overhauled and Delivered on 19th June 1981 |
| Year: | |
| Month: | |
| Quality: | Low (337x495px) |
| Added: | 06/09/2020 |
| Notes: | |
Downloads Single download: To download this file, right-click on the image and select 'Save Image As...' Bulk download: To download a ZIP file containing this and other related documents, use the link below (where available). Buses Overhauled and Delivered 1981 (222 files, 21.8Mb) |
|