
| File Information | |
| File ID: | 35767 |
| Type: | |
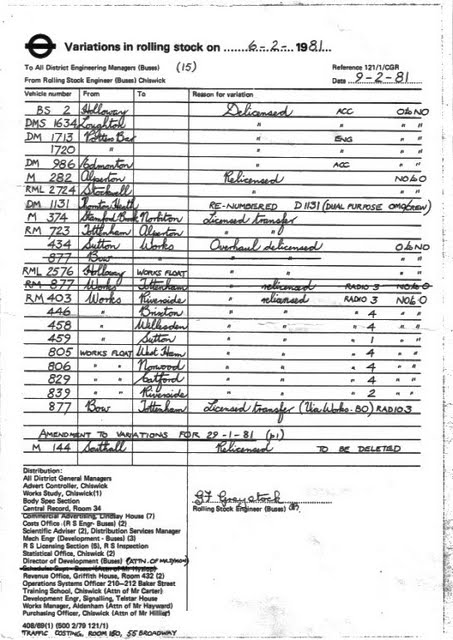
| Title: | Daily Statement of Finishing Line Output - Aldenham - 9th February 1981 |
| Year: | |
| Month: | |
| Quality: | Low (413x584px) |
| Added: | 22/11/2020 |
| Notes: | |
Downloads Single download: To download this file, right-click on the image and select 'Save Image As...' Bulk download: To download a ZIP file containing this and other related documents, use the link below (where available). Daily Statement of Finishing Line Output 1981 (236 files, 6.3Mb) |
|