
| File Information | |
| File ID: | 37583 |
| Type: | |
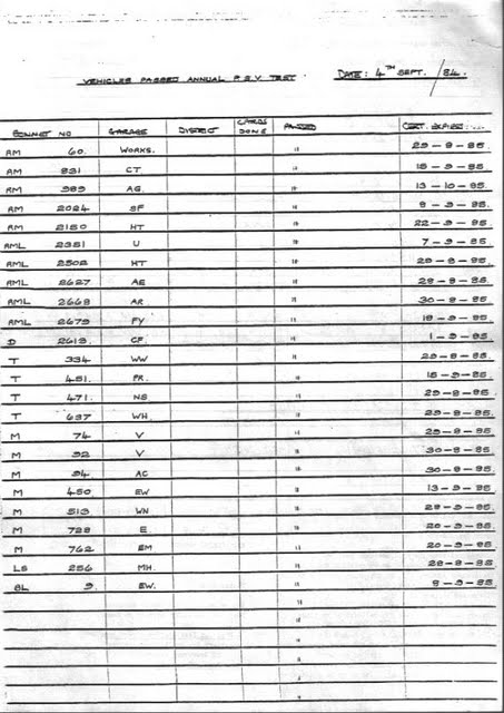
| Title: | Inspection Report 7th September 1984 (added to 15th October 1984) |
| Year: | |
| Month: | |
| Quality: | Low (640x355px) |
| Added: | 30/11/2020 |
| Notes: | Two different reports on one sheet, reasons unknown. Filed here under both dates for convenience |
Downloads Single download: To download this file, right-click on the image and select 'Save Image As...' Bulk download: To download a ZIP file containing this and other related documents, use the link below (where available). Rolling Stock Inspection Reports 1984 (174 files, 12.9Mb) |
|