
| File Information | |
| File ID: | 9097 |
| Type: | |
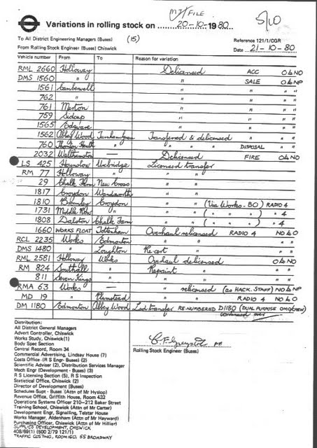
| Title: | Memo ref Vehicle Transfers to be phased in from 20th October 1980, page 1 of 3 |
| Year: | |
| Month: | |
| Quality: | Low (503x578px) |
| Added: | 24/01/2020 |
| Notes: | |
Downloads Single download: To download this file, right-click on the image and select 'Save Image As...' Bulk download: To download a ZIP file containing this and other related documents, use the link below (where available). Memorandums 1980 (102 files, 4.4Mb) |
|