
| File Information | |
| File ID: | 9158 |
| Type: | |
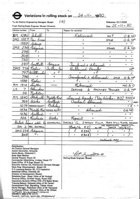
| Title: | Variations in Rolling Stock on 22nd November 1980, page 1 of 2 |
| Year: | |
| Month: | |
| Quality: | Low (453x640px) |
| Added: | 24/01/2020 |
| Notes: | |
Downloads Single download: To download this file, right-click on the image and select 'Save Image As...' Bulk download: To download a ZIP file containing this and other related documents, use the link below (where available). Variations in Rolling Stock 1980 (491 files, 29.5Mb) |
|