LTSV > Service Vehicles > Fleet Data > Vehicle List > 2119B THV119S
This is the vehicle detail page. Everything we know about this particular vehicle will appear here. If you can add to, improve or correct any of the information on this page, please get in touch.
Main vehicle details

Number Registration Type Class Chassis No. Body No. ? If the vehicle had two or more bodies (i.e. if it was rebodied), the body numbers (where known) are shown in chronological order. Refer to the history records for more details.
2119B THV119S Bedford CF220 18-cwt Van Medium Van 97F70HY619261

Licence on: 19/05/1978
Into stock: 16/05/1978
From: Hamilton Motors
Out of stock: 30/11/1982 (Life: 4.54 years)
Disposal: Motor Auction Group, Brentford
Licence off: 31/05/1987 ?This is the last recorded licence expiry date. Previous expiry dates will be shown in the Licensing History section below.
Livery: Red
Operator: LT
Status: Withdrawn
Allocation: n/a
Added to LTSV: 01/09/2005 by Thomas Young
Last edited: 15/02/2014 ?This is the date of the most recent edit. To see details of all edits, scroll to the bottom of the page.
Photos
No photos of this vehicle have been published.
There may be references to other photos in the Notes section further down this page.
Sightings
3 sightings of this vehicle have been reported. Shown below with the most recent at the top.
Date Place Comments Posted by ?If the name is in brackets, the vehicle was not seen by the person, but the sighting was added by the person.
02/10/1981 Victoria Bus Station Trevor Watson
08/07/1979 Hyde Park Corner - Ray
24/05/1978 ? - Steve Howard
History ?This section contains details of events during the lifetime of this vehicle. These can be drawn from official documents or from observations, and will eventually cover the whole career of each vehicle.
6 history entries have been added, shown below in date order (oldest first).
Date Event Operator Department Location Status Notes Source
16/05/1978 New into stock LT n/a Works u ex Hamilton Motors LT Variation Sheets
19/05/1978 Licensed and transferred LT Chief Operating Manager (Buses) (DSM) Unknown ex RSI. Replacement for 1786F LT Variation Sheets
by03/1982 Allocated to LT General Manager (Buses) (Gp.2) Victoria (Gillingham Street) Garage LT Miscellaneous Vehicles Register (as date)
c.13/11/1982 Withdrawn LT ? Unknown Misc. Vehicle Register
22/11/1982 Delicensed and transferred LT n/a Works u ex Distribution Services Manager (?) LT Variation Sheets
30/11/1982 Sold LT n/a n/a ex Works LT Variation Sheets
Notes ?This section contains notes that users have added about this vehicle.
2 notes about this vehicle have been posted, shown below with the most recent first.
Note Posted by On
Photo at https://www.flickr.com/photos/28083135@N06/45687056461 Ray 20/06/2019
Replaced by 3078B Thomas Young 12/12/2013
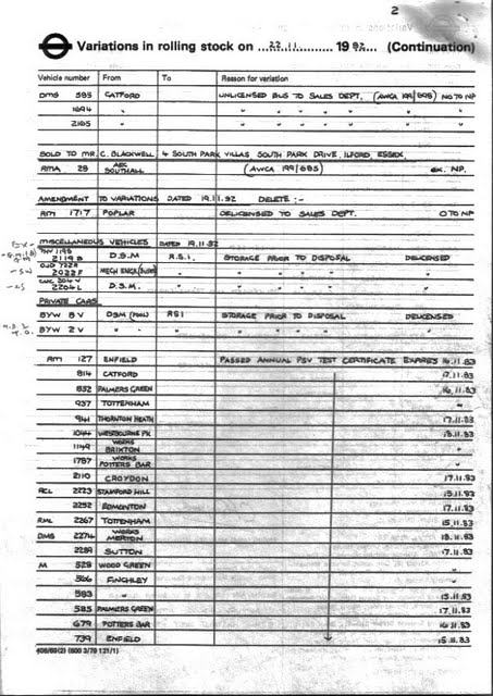
Documents ?This section contains scans of official documents that relate to this vehicle.
4 documents relating to this vehicle have been published. Shown below in date order (oldest first). Hover over a document to see more details.
Document
Document
Document
Document
Licensing History ?The licence expiry dates are regularly updated, with all records shown here (most recent first).
Date checked Expiry date Notes Added by
01/01/2022 31/05/1987 Ray
Edits ?This section shows a description of each change that has been applied to the database entry for this vehicle.
This record has been edited 3 times, as listed below (most recent edits first).
Date Summary Edited by Public?
15/02/2014 Improved date out Thomas Young Y
08/02/2014 Improved date in Thomas Young Y
28/03/2009 Licensing date/s updated Ray Y